Copy of Robstown ISD, Critical Updates: Coronavirus
What is Coronavirus?
Coronaviruses have been around for decades and are perhaps best known for causing illnesses like the common cold, with symptoms like coughing, sneezing, and other upper respiratory issues. In late 2019, a new coronavirus was discovered. Please visit the CDC website for accurate, up-to-date information and recommendations about COVID-19 and influenza.District COVID-19 Reporting Dashboard
COVID REPORT
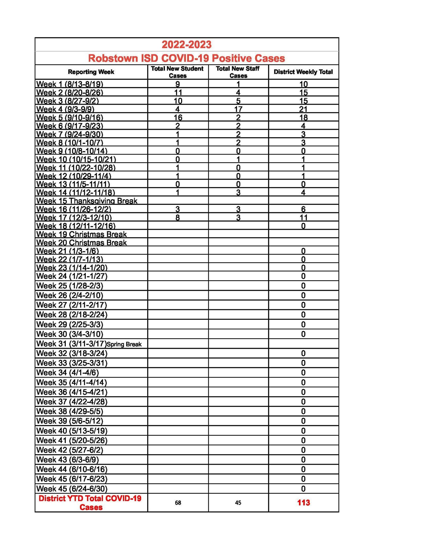
2021-2022 Robstown ISD COVID-19 Positive Cases
COVID-19 Response Protocols
- Data is based on internally confirmed COVID-19 positive self-reporting information and internal testing results.
- Districtwide cases are cumulative cases tracked since August 11, 2021 for the purpose of the dashboard
- Disclaimer: All data are provisional and subject to change
- Weekly updates will be posted at the end of the school business days on Fridays.
2021-2022 COVID-19 Health Response Protocols
2021-2022 Self-Screening Tool
2020-2021 Notification Letters
2020-2021 School Year
COVID-19 Information
2020-2021 Blueprint
2020-2021 Information

